AdvantEdge

最先端の有限要素解析

当社の主力製品であり、当社の事業のほぼすべてを支える技術エンジンであるAdvantEdgeは、材料除去プロセスのモデリングにおける最高峰のCAE製品です。実験的に検証された材料モデリング技術と高度な動的陽解法有限要素解析(FEA)を組み合わせることで、エンジニアは試行錯誤によるテストよりもはるかに多くの情報を得ることができます。これにより、より的確な意思決定が可能になります。

切削加工モデリングによるイノベーションの推進

市場投入までの時間を短縮する

AdvantEdgeは、ユーザーがより多くの設計/プロセス設定を、劇的に短い時間で評価することを可能にし、必要なテスト量を削減します。ツール設計においては、新製品を市場に投入するまでの時間を半分以下に短縮できます。生産においては、ツール認定や革新的な新プロセスの導入にかかる時間を、従来の方法の半分以下に短縮できます。

フライス加工におけるチップフロー

実験検証のためのチップ形成解析

ツールのパフォーマンスを向上させる

適切な用途に最適な工具を設計するには、実に多くの変数を考慮する必要があります。これらの変数には、工具基材、刃先加工、チップブレーカー、コーティング、切削速度と送り速度、クーラントなどが含まれます。温度、応力、圧力、熱流、切りくず排出といった性能決定要因に対するこれらの変数の影響を理解することは、優れた工具設計と工具性能の最適化に不可欠です。この情報は意思決定において重要ですが、コストと時間がかかり、切削試験から得られることは多くの場合不可能です。新しい材料の加工、使用する工具に最適な切削速度と送り速度の決定、工具形状の変更など、どのような場合でも、AdvantEdgeは解決策を見つけるお手伝いをします。当社のユーザーは、工具寿命を延ばしながら、材料除去率を100%以上向上させることを日常的に実現しています。

大胆に革新する

AdvantEdgeは、切削加工試験では取得が極めて困難、あるいは不可能なデータを理解する上で役立ちます。力、動力、トルク、切りくず形状は切削加工ラボで取得できますが、時間とコストがかかります。AdvantEdgeのシミュレーション解析を使用すれば、これらの出力を取得できるだけでなく、応力、温度、圧力、滑り速度など、測定がほぼ不可能なデータも解析できます。. 

AdvantEdgeは、加工対象物の応力状態に関するデータも提供します。これは、加工対象物の全体的な品質を分析する上で非常に重要です。この情報を活用することで、ユーザーは高性能加工のための新しい手法の開発、革新的な工具設計、あるいは新世代合金の加工など、あらゆる分野で大胆なイノベーションを実現できます。

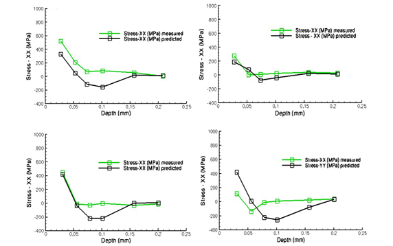
表面品質予測のための残留応力解析

使いやすさ

次のプロジェクトを数分でセットアップできます。切削加工の専門家や工具設計者を念頭に設計されているため、ユーザーは有限要素解析(FEA)の知識がなくても、AdvantEdgeのインストールや使用を成功させることができます。直感的な前処理により、AdvantEdgeは20種類以上のプロセスに対応したパラメトリック設定を提供し、ユーザーは適切な仮想実験の設計と適用可能な結果の解釈に集中できます。工具とワークピースのメッシュ生成は自動的に行われます。同時に、上級ユーザーは必要なすべての制御機能を利用できます。ユーザーは独自の材料モデルを作成したり、メッシュパラメータを調整したり、独自の工具やワークピースの設計をインポートしたりすることができます。同様に、AdvantEdgeには、よくある質問に答えるための自動後処理とレポート生成機能が搭載されており、エンジニアが革新のために珍しいケースを探求するのに十分な柔軟性を備えています。

タッピングにおけるチップ排出

プロセスおよび市場別サポート

AdvantEdgeのサポートチームでは、切削加工とFEA解析の専門知識を持つ一流のエンジニアがサポートします。Third Wave Systemsのエンジニアリングサポートチームは、お客様のチームの延長線上にある存在です。製品サポートを提供するだけでなく、お客様が最も重要な課題に対する革新的なソリューションを開発できるよう、お客様と協力して取り組みます。お客様のチームは部品、プロセス、設備、材料に関する専門知識をお持ちですが、当社には、お客様の業界特有の問題やプロセスに当社の製品を適用するためのガイダンスを提供する専門知識があります。サイクルタイムの短縮、工具寿命と部品品質の向上、設計サイクルの加速など、どのような専門知識が必要であっても、TWSのエンジニアは、大胆なイノベーションを実現するための科学的データの活用に関する貴重な洞察を提供できます。さらに、お客様のITチームとも連携し、スムーズなデータフローを確保することで、TWSをお客様の標準業務に組み込めるようサポートします。

TWSにご連絡ください!